• Предмет: Математика
  • Автор: zeel2019
  • Вопрос задан 8 лет назад

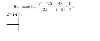
Помогите пожалуйста! 74-26/25:48/9(-5)*15/4

Приложения:

Ответы

Ответ дал: tatsach
0

Ответ:

Пошаговое объяснение:

74-26 / 25=48/25

48/25:48/(-5)=48/25*(-5/28)=-1/5

-1/5*15/4=-3/4

Вас заинтересует