• Предмет: Математика
  • Автор: Аноним
  • Вопрос задан 8 лет назад

СДЕЛАЙТЕ ОЧЕНЬ ЛЕГКО + МНОГО БАЛЛОВ

Приложения:

Ответы

Ответ дал: tatsach
0

Ответ:

Пошаговое объяснение:

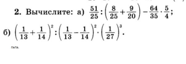
8/25+9/20=32/100+45/100=77/100

51/25:77/100=51/25*100/77=204/77

64/35*5/4=16/7

204/77-16/7=204/77-176/77=28/77=4/11

(1/13+1/14)²=(14/182+13/182)²=(27/182)²

(1/13-1/14)²=(14/182-13/182)²=(1/182)²

(27/182)²:(1/182)²=(27/182)²*182²=27²

27²*(1/27)³=1/27

Ответ дал: tatsach
0
где ошибка
Ответ дал: jekadva
0
(1/27)³
Ответ дал: tatsach
0
не заметила
Ответ дал: tatsach
0
увидела квадрат
Ответ дал: tatsach
0
я исправила
Вас заинтересует