• Предмет: Математика
  • Автор: d0nelkojdxctxckoban
  • Вопрос задан 8 лет назад

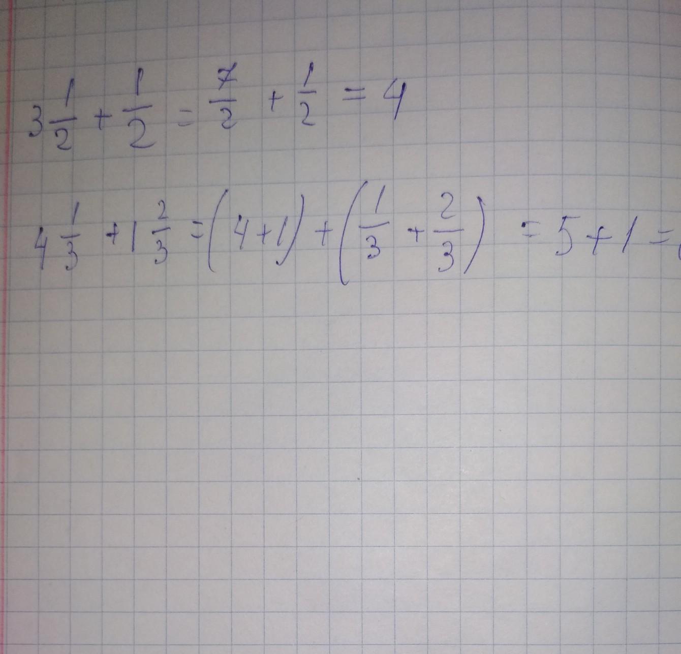
3 целых 12 + 1/2
4 целых 1/3 + 1 целая 2/3​

Ответы

Ответ дал: humanlyk
0

так вроде бы)))))))))))))))))

Приложения:
Ответ дал: elenayana
0

Ответ:

9 целых 2/3

Пошаговое объяснение:

1)3 целых 1/2+4 целых 1/2=7 целых 2/2 или 8 целых

2)8 целых+1 целая 2/3=9 целых 2/3

Приложения:
Вас заинтересует