• Предмет: Алгебра
  • Автор: rrrrtttt01
  • Вопрос задан 8 лет назад

Пожалуйста помогите...............................................

Приложения:

Ответы

Ответ дал: sangers1959
0

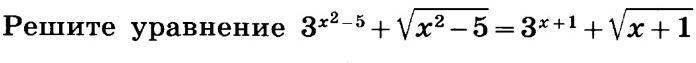
3^(x²-5)+√(x²-5)=3^(x+1)+√(x+1)

ОДЗ: x+1≥0           x≥-1    ⇒     x∈[1;+∞).

x²-5≥0         x²-√5≥0      (x+√5)(x-√5)≥0   -∞__+__-√5__-__√5__+__+∞

x∈(-∞;-√5]U[√5;+∞)      ⇒      x∈[√5;+∞).

Вид уравнения в правой и левой частях идентичный.    ⇒

x²-5=x+1

x²-x-6=0    D=25       √D=5

x₁=3       x₂=-2  ∉ ОДЗ.

Ответ: x=3.

Ответ дал: rrrrtttt01
0
https://znanija.com/task/32247173 пожалуйста помогите
Вас заинтересует