• Предмет: Математика
  • Автор: skv89308840811
  • Вопрос задан 8 лет назад

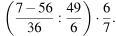
решите по действиям пожалуйста

Приложения:

Ответы

Ответ дал: have93
0

7-56/36=-49/36=-1 13/36

- 1 13/36 : 49/6= -1 13/36 : 8 1/6= -49/36 : 49/6= -49*6/36*49= -1/6

-1*6/6*7= -1/7

Ответ дал: skv89308840811
0
Спасибо
Вас заинтересует