• Предмет: Алгебра
  • Автор: ChickenWings
  • Вопрос задан 8 лет назад

Даю много баллов! Помогите решить, тут применяются формулы размещения и сочетания. ​

Приложения:

Ответы

Ответ дал: solving05
0

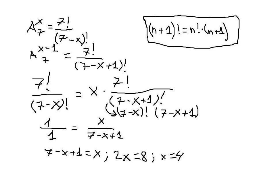
вроде 1 решил, сейчас попытаюсь решить второе

Приложения:
Ответ дал: solving05
0
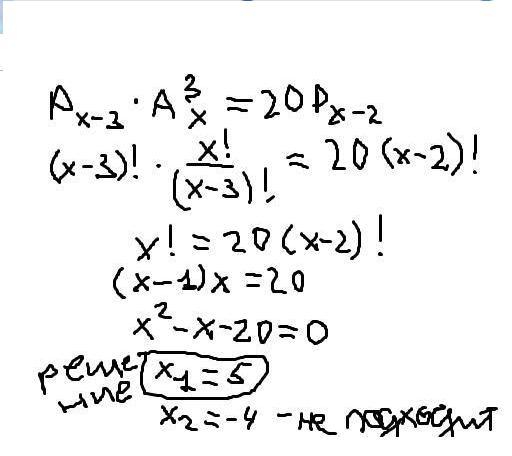
так пойдет?
Ответ дал: solving05
0
надо насчет тебя с админами поговорить
Ответ дал: ChickenWings
0
теперь да.
Ответ дал: ChickenWings
0
ибо нифига не было видно даже с лупой
Ответ дал: solving05
0
я же увеличил через лупу и пересохранил
Вас заинтересует