• Предмет: Математика
  • Автор: koksinakristina48
  • Вопрос задан 8 лет назад

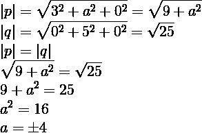
Пожалуйста !!!!!При каком значении а равны между собой модули векторов p(3;a;0); q(0;5;0)?

Ответы

Ответ дал: Trover
0

|p|=sqrt{3^2+a^2+0^2}=sqrt{9+a^2}\|q|=sqrt{0^2+5^2+0^2}=sqrt{25}\|p|=|q|\sqrt{9+a^2}=sqrt{25}\9+a^2=25\a^2=16\a=pm4

Приложения:
Вас заинтересует