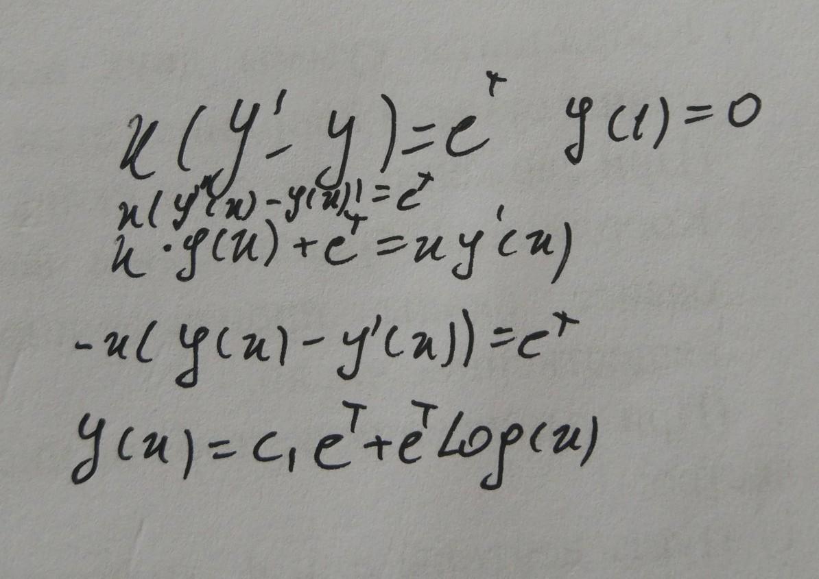
Найти частное решение дифференциального уравнения,
удовлетворяющего данному начальному условию:
Приложения:

Ответы
Ответ дал:
0
ответ во вложении, вроде правильно
Приложения:

Вас заинтересует
2 года назад
3 года назад
8 лет назад
8 лет назад