• Предмет: Алгебра
  • Автор: Almazmr
  • Вопрос задан 8 лет назад

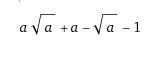
Как вынести за скобки (корень из a)? Поэтапно, чтобы получилось sqrt(a)*(a-1)+(a+1)

Приложения:

Ответы

Ответ дал: eva1248
0

x =  sqrt{ {x}^{2} } =  ( { sqrt{x} })^{2}
x( sqrt{x}  + 1) - ( sqrt{x}  + 1) = ( sqrt{x}  + 1)(x - 1)
x sqrt{x}  -  sqrt{x}  + x - 1 =  \  sqrt{x} (x - 1) + (x - 1) = (x - 1)( sqrt{x}  + 1)
написала два варианта решения
Ответ дал: Almazmr
0
Подскажите, каким образом \ sqrt{x} (x - 1) + (x - 1) = (x - 1)( sqrt{x} + 1)
Ответ дал: Evgenia4836
0

a√a-√a+a-1= √a(a-1)+(a-1)= (a-1)(√a+1)

Вас заинтересует