Ответы
Ответ дал:
0
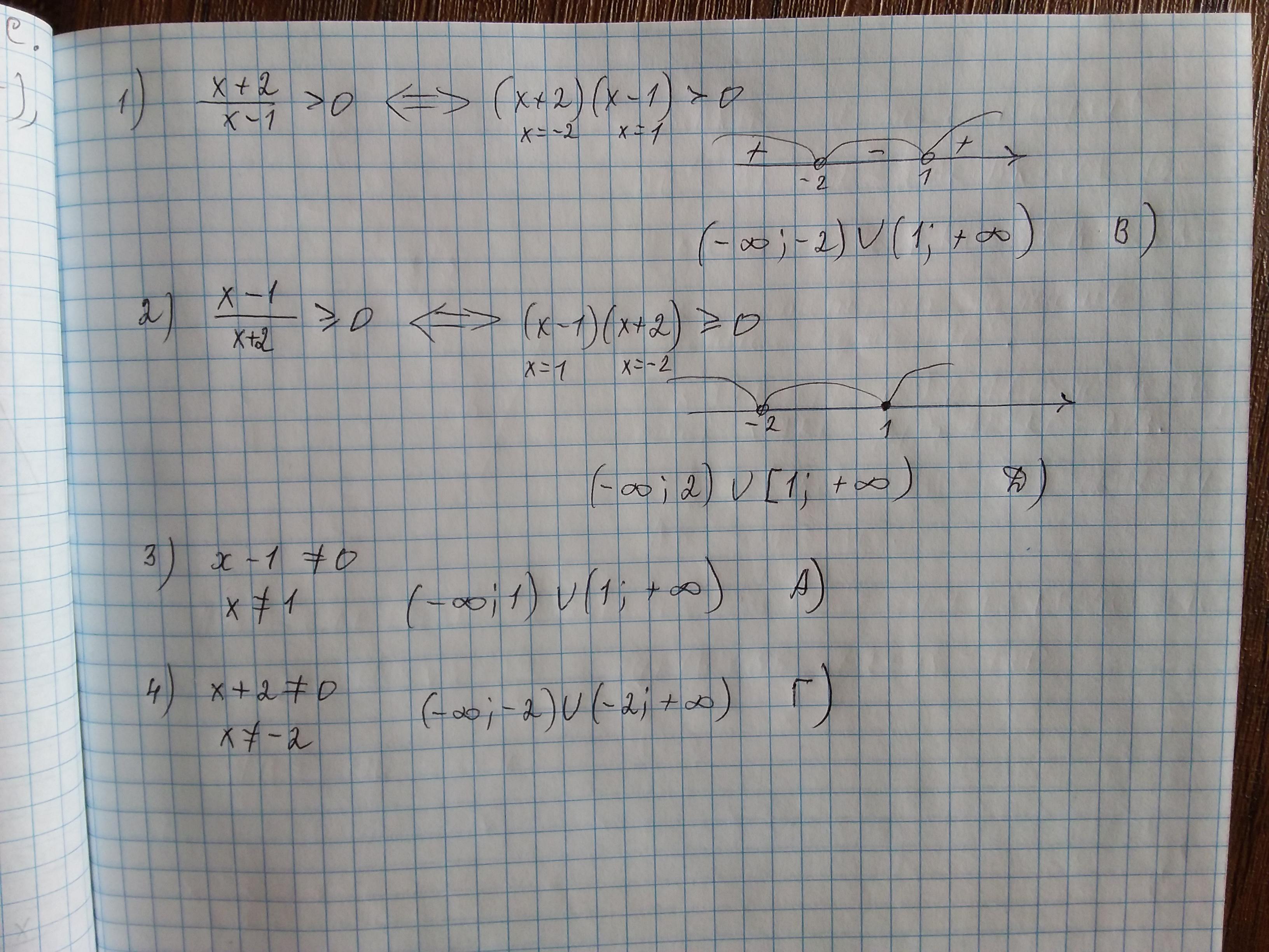
1) область определения (х+2)/(х-1)>0, х ≠ 1
-2, 1
(-∞; -2)∪(1; +∞) - в)
2) область определения (х-1)/(х+2)≥0, х≠-2
-2, 1
(-∞; -2)∪[1; +∞) - д)
3) область определения х≠1
(-∞; 1)∪(1; +∞) - а)
4) область определения х≠-2
(-∞; -2)∪(-2; +∞) - г)
Ответ дал:
0
на фото..............
Приложения:

Вас заинтересует
2 года назад
3 года назад
3 года назад
8 лет назад
8 лет назад
9 лет назад