• Предмет: Математика
  • Автор: wotvova99
  • Вопрос задан 8 лет назад

прошу подробно объяснить, если есть формулы, то тоже записать

Приложения:

Ответы

Ответ дал: mmb1
0

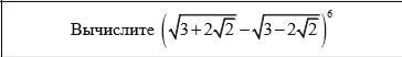
(√(3 + 2√2) - √(3 - 2√2))⁶ = 64

√(3 + 2√2) = √(2 + 2√2 + 1) = √(√2² + 2*√2*1 + 1²) = √(√2 + 1)² = √2 + 1

√(3 - 2√2) = √(2 - 2√2 + 1) = √(√2² - 2*√2*1 + 1²) = √(√2 - 1)² = |√2 - 1| = (√2 > 1) = √2 - 1

(√2 + 1 - (√2 - 1))⁶ = (√2 + 1 - √2 + 1)⁶ = 2⁶ = 64

формулы

√x² = |x|

(x +- a)² = x² +- 2xa + a²

квадратный корень четной степени всегда число неотрицательное

Ответ дал: braincracker
0
красиво) я бы по простому (6=2*3) возвел в квардарт там все корни сократились бы, получилось 4^3=64
Ответ дал: mmb1
0
и так можно }}}}
Ответ дал: wotvova99
0
огромное спасибо.
Вас заинтересует