• Предмет: Математика
  • Автор: BleakTie
  • Вопрос задан 8 лет назад

ОЧЕНЬ СРОЧНО,ПОМОГИТЕ!

Приложения:

Ответы

Ответ дал: Аноним
0

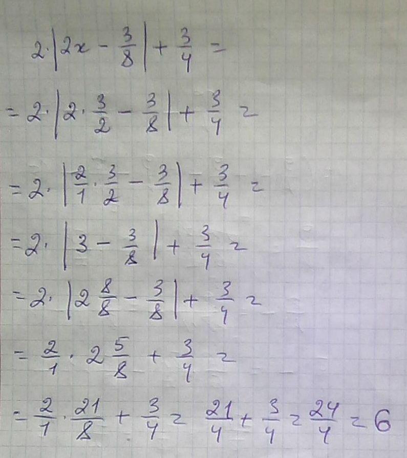
= решение = решение = решение = решение = решение =

Приложения:
Ответ дал: Аноним
0
you understand me?
Ответ дал: BleakTie
0
нифига себе!)))
Посеб!
Вас заинтересует