• Предмет: Математика
  • Автор: Аноним
  • Вопрос задан 8 лет назад

Ученикам 6 класса ВПРОС

Приложения:

Ответы

Ответ дал: Аноним
0

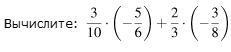
3/10*(-5/6)+2/3*(-3/8)=-1/4+(-1/4)=-1/4-1/4=1/2

ответ:1/2

Ответ дал: Аноним
0
-1/4+(-1/4)=-2/4=-1/2
Ответ дал: Аноним
0
ох уж этот минус
Ответ дал: Аноним
0
ой я перепутала....
Ответ дал: Аноним
0
да должно быть ответ с минусом даа!!
Ответ дал: 4399
0

ответ равен :1/4+1/4=1/2

Вас заинтересует