• Предмет: Математика
  • Автор: Аноним
  • Вопрос задан 8 лет назад

Ученикам 6 класса ВПРОС

Приложения:

Ответы

Ответ дал: Аноним
0

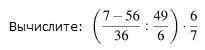
( frac{7 - 56}{36}  div  frac{49}{6} ) times  frac{6}{7}  = ( frac{ - 49}{36}  times frac{49}{6} ) times  frac{6}{7}   = ( -  frac{49}{36}  times  frac{6}{49} ) times  frac{6}{7}  = ( -  frac{1}{6} ) times  frac{6}{7}  =  -  frac{1}{7}

Удачи))))

Ответ дал: Аноним
0
Идеальный ответ
Ответ дал: Аноним
0
Спасибо)
Ответ дал: izabella9
0

(( frac{ - 49}{36} ) div ( frac{49}{6} ))  times   frac{6}{7}  = (( frac{ - 49}{36} ) times ( frac{6}{49} ))  times   frac{6}{7}  = ( frac{ - 6}{36} )  times   frac{6}{7}  = ( frac{ - 1}{6} ) times  frac{6}{7}  =  -  frac{1}{7}
Ответ......................................
Вас заинтересует