• Предмет: Математика
  • Автор: tvgcfcrxerc
  • Вопрос задан 8 лет назад

Помогите решить , даю 35 баллов

Приложения:

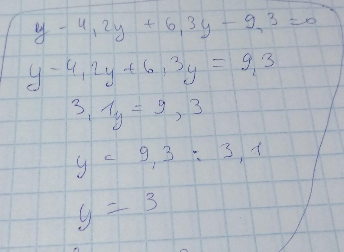
Ответы

Ответ дал: LuckyMILK
0

решение во вложение.

......

Приложения:
Ответ дал: tvgcfcrxerc
0
А откуда в первом уравнение 1,3 ???
Ответ дал: tvgcfcrxerc
0
3,1*
Ответ дал: LuckyMILK
0
Я игрики (у) посчитала
Ответ дал: LuckyMILK
0
В этом действии
Вас заинтересует