Здравствуйте, помогите мне найти корень уравнения у этих двух заданий. Вроде, не сложно, но как делать знать не могу. Давно не занимался подобным.
Приложения:


Ответы
Ответ дал:
0
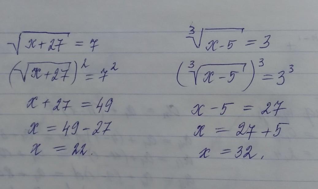
Решение уравнений показано на фото.
Приложения:

Ответ дал:
0
Ответ:#1
√х+27=7
Х+27=49
Х=49-27
Х=22
#2
3√х-5=3
Х-5=27
Х=27+5
Х=32
Приложения:

Вас заинтересует
2 года назад
2 года назад
3 года назад
3 года назад
8 лет назад
9 лет назад