• Предмет: Алгебра
  • Автор: Slozn0
  • Вопрос задан 8 лет назад

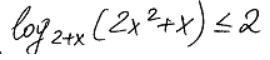
Решите неравенство не используя метод рационализации.

Спасибо.

Приложения:

Ответы

Ответ дал: ШереметИрина
0

На фото............................

Приложения:
Ответ дал: Slozn0
0
...
Ответ дал: ШереметИрина
0
четверка может быть лишней, хотя если её подставить в условие, то оно выполняется
Ответ дал: lidiasaraa3
0

на фото..................

Приложения:
Вас заинтересует