• Предмет: Математика
  • Автор: flock22
  • Вопрос задан 8 лет назад

Решите два номера пж

Приложения:

Ответы

Ответ дал: emjons
0

12. Его решения — числа 1 и −1. Поэтому искомое отрицательное решение — число −1.

Ответ: −1.

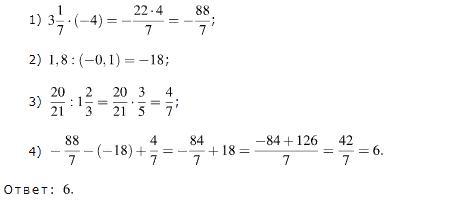
13.Ответ:6

Приложения:
Ответ дал: flock22
0
В 13 напиши как ты решал пожалуйста
Ответ дал: emjons
0
Щас
Ответ дал: emjons
0
Всё0
Вас заинтересует