• Предмет: Алгебра
  • Автор: aruzhankrasiva1
  • Вопрос задан 8 лет назад

Помогите пожалуйста не могу решить правильно

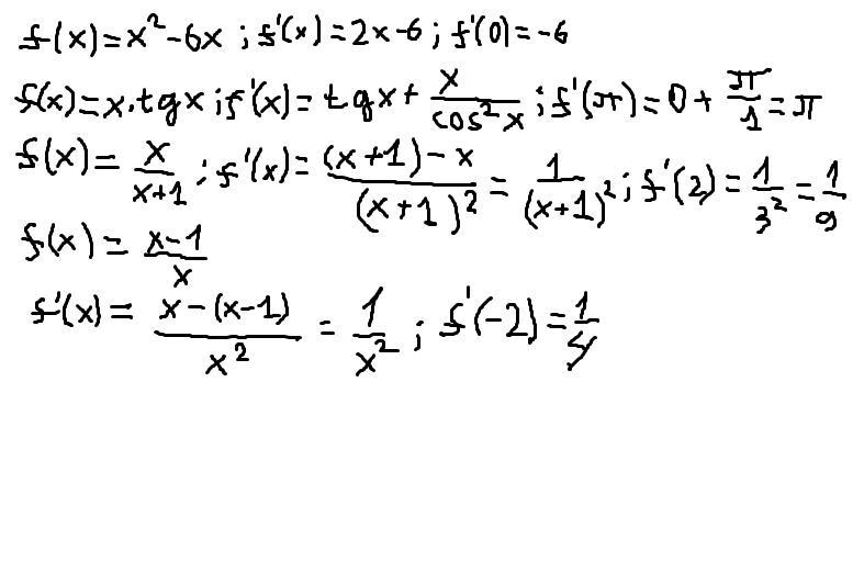
Найдите значение производной функции у=f(x) в заданных точках:

а)f(x)=x^2-6x; x=0
б)f(x)=x•tgx; x=pi
в)f(x)=x дробь x+1; x=2
г) f(x)=x-1 дробь x; x=-2

Ответы должны быть такие:
а) -6
б)pi
в) одна девятая
г) одна четвёртая

Ответы

Ответ дал: solving05
0

Решение в приложении

Приложения:
Ответ дал: aruzhankrasiva1
0
Спасибо огромное
Ответ дал: oydinsultonova4747
0

вот ответы. Ответы совпали

Приложения:
Ответ дал: aruzhankrasiva1
0
Спасибо огромное
Вас заинтересует