Ответы
Ответ дал:
0
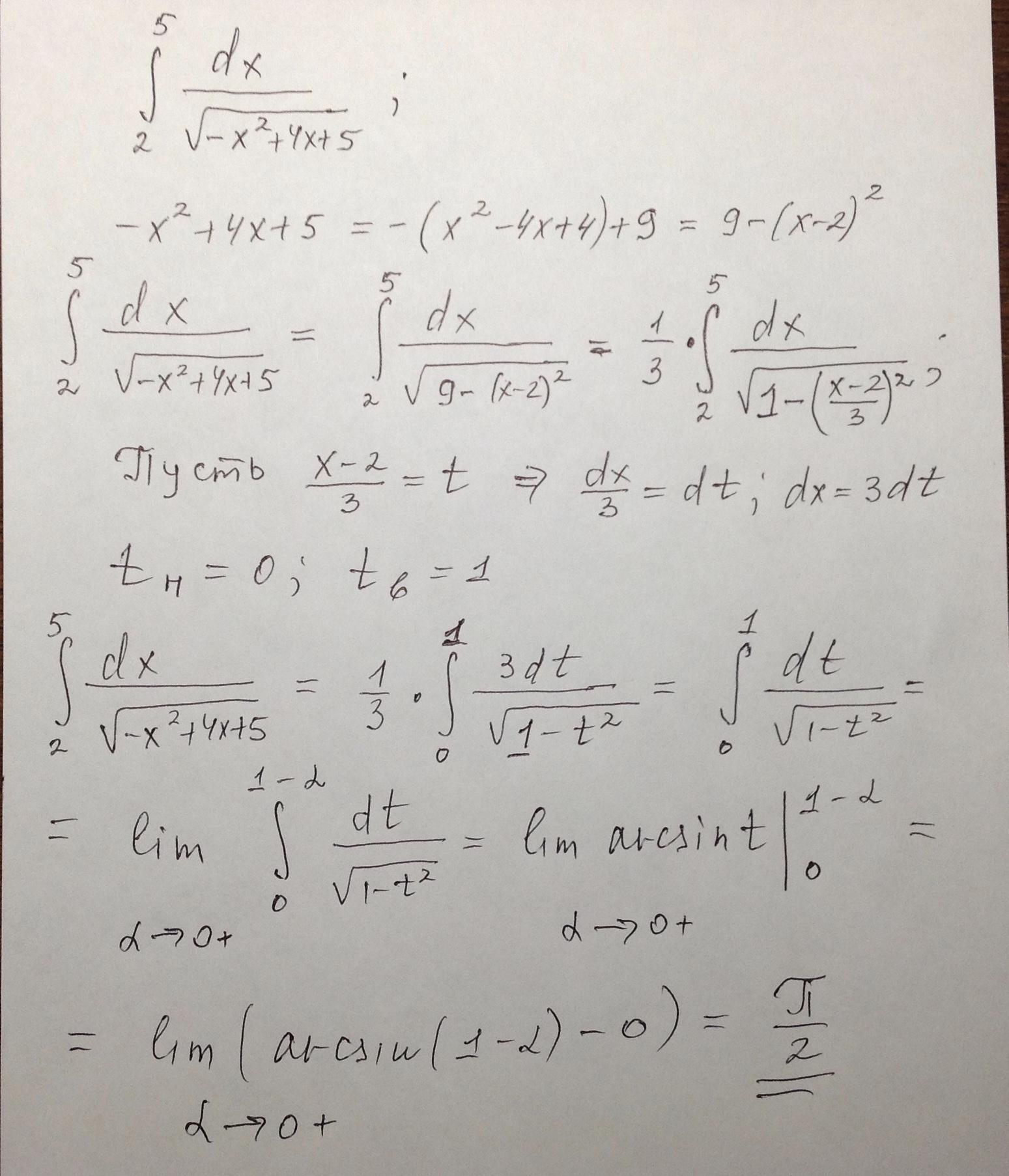
Интеграл несобственный ( подынтегральная функция не существует в точке 5 ) , поэтому в конце решения появляется предел
Приложения:

Ответ дал:
0
я понимаю почему вы ввели предел, но первый раз вижу нахождение интеграла через него-как на экзамене такое может пройти?
Ответ дал:
0
Уважаемая Simba , это стандартный способ вычисления несобственных интегралов второго рода
Ответ дал:
0
Спасибо огромное.
Ответ дал:
0
Simba2017, и правда, я бы это сам бы не решил. Спасибо и тебе)
Вас заинтересует
2 года назад
3 года назад
3 года назад
9 лет назад