Ответы
Ответ дал:
0
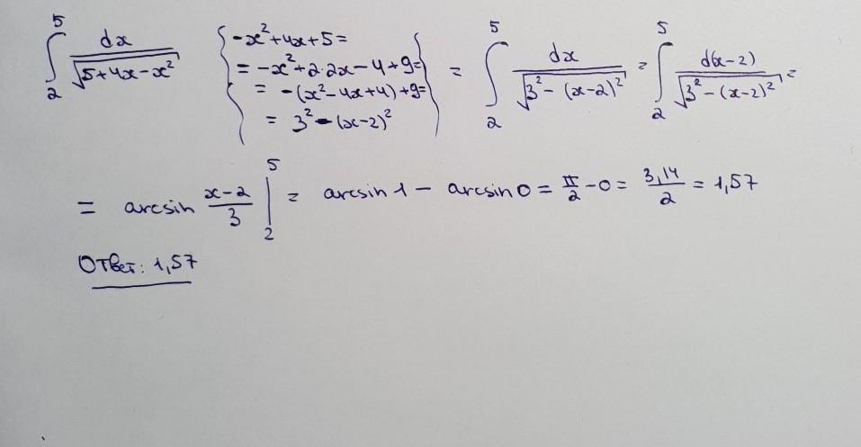
решение на фотографии.
Приложения:

Ответ дал:
0
Спасибо большоооое)) Жаль тут нельзя донатить тем кто помог решить, рублей 25 я бы точно кинул)
Вас заинтересует
2 года назад
2 года назад
3 года назад
3 года назад
8 лет назад