• Предмет: Математика
  • Автор: Тимофей1Zaplэtkin
  • Вопрос задан 8 лет назад

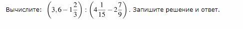
Помогите решить,получается другой ответ

Приложения:

Ответы

Ответ дал: zthg14
0

Ответ:

1.5

Пошаговое объяснение:

1. Числитель преобразуем через обыкновенные дроби

2. Знаменатель преобразуем через обыкновенные дроби.

3. Делим чмслитель на знаменатель

Ответ дал: Тимофей1Zaplэtkin
0
спасибо
Ответ дал: zthg14
0
Калькулятор источник правды.
Ответ дал: asantik
0

Решение на фото........

Приложения:
Ответ дал: Тимофей1Zaplэtkin
0
спасибо
Ответ дал: Тимофей1Zaplэtkin
0
у меня такой же ответ,только он не правильный
Ответ дал: Тимофей1Zaplэtkin
0
но всё равно спасибо
Ответ дал: asantik
0
))))
Вас заинтересует