• Предмет: Математика
  • Автор: Артём2121314
  • Вопрос задан 8 лет назад

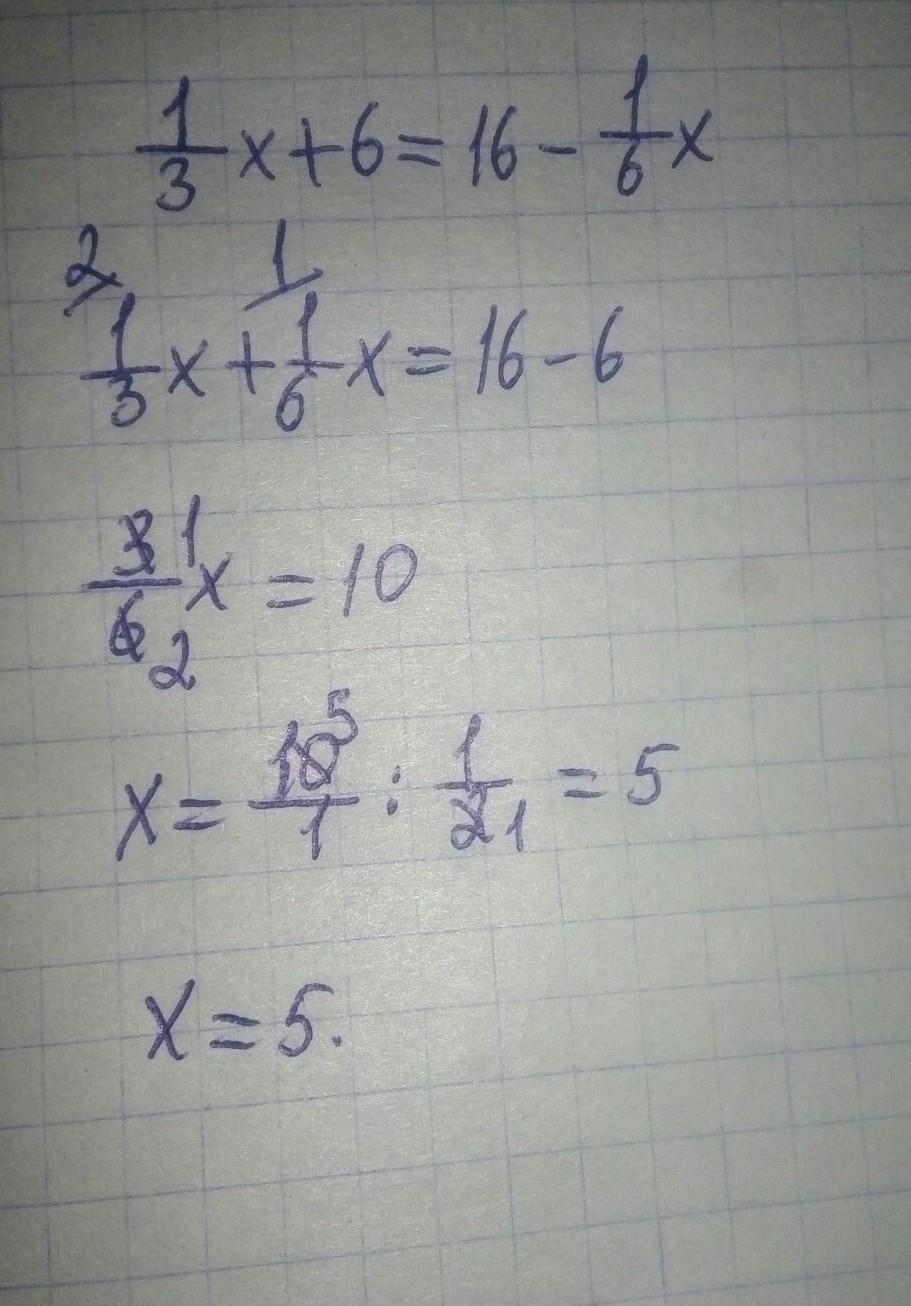
1/3x+6=16-1/6x
?????????????????

Ответы

Ответ дал: Jimin21102005
0

Ответ во вложении.........

Приложения:
Ответ дал: Jimin21102005
0
вы ведь уже решили правильно
Ответ дал: Аноним
0
да ну и что
Ответ дал: Jimin21102005
0
Артём2121314 сейчас
Ответ дал: Аноним
0
мелкая ошибка,что тут такого
Ответ дал: Jimin21102005
0
8(6+х)-3х=6х-66. 48+8х-3х=6х-66. 8х-3х-6х=-66-48. -х=-114. х=-114:(-1) х=114
Вас заинтересует