• Предмет: Математика
  • Автор: KotLolkaMew
  • Вопрос задан 8 лет назад

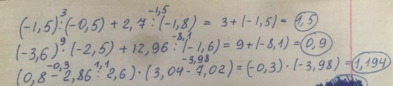
Помогите, пожалуйста, решить эти три примера.

Даю 25 баллов!​

Приложения:

Ответы

Ответ дал: ES0202
0

Ответ:

Пошаговое объяснение:

Приложения:
Ответ дал: KotLolkaMew
0
Спасибо!
Вас заинтересует