• Предмет: Алгебра
  • Автор: Есенинка
  • Вопрос задан 11 лет назад

Буду признательна всеми фибрами души!
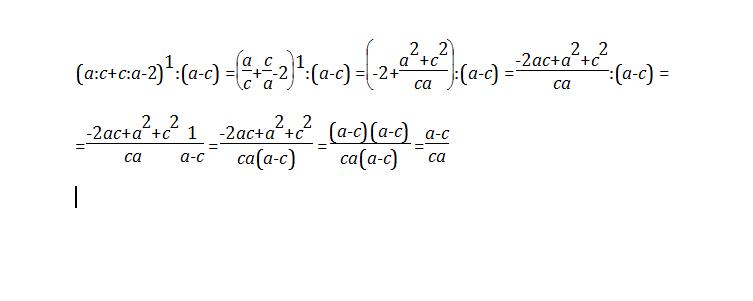
(a:c+c:a-2)*1:(a-c)

Ответы

Ответ дал: triolana
0
===========================================
Приложения:
Вас заинтересует