• Предмет: Алгебра
  • Автор: katydream
  • Вопрос задан 8 лет назад

Известно, что точка A(m;n) принадлежит графику функции y= -6/x. Найдите координаты точки A, если m=n-7

Ответы

Ответ дал: asialoban
0

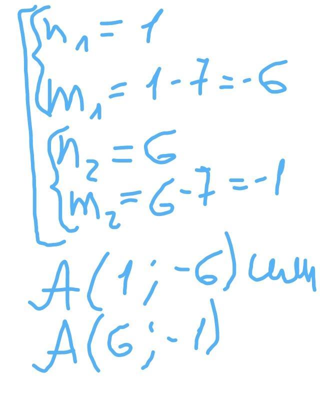
Подставим в уравнение координаты

n = -6/(n - 7)

-6 = n(n - 7)

-6 = n² - 7n

n² - 7n + 6 = 0

D = 49 - 4 * 6 = 49 - 24 = 25

n1 = (7 - √25)/2 = 1

n2 = (7 + √25)/2 = 6

Дальше на фото

Приложения:
Ответ дал: CKyTepucT
0
Здравствуйте, можете мне помочь завтра с самостоятельной работой по производным? Не за бесплатно, заплачу сколько скажите. Напишите свои контакты, я вам отпишу. Вайбер, вк или ватс апп
Вас заинтересует