• Предмет: Физика
  • Автор: anelkalkamanova45585
  • Вопрос задан 8 лет назад

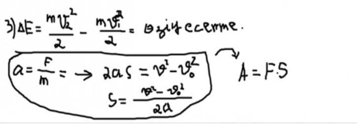
Тарту күші 6×10^4 Н болатын мəшиненің жылдамдығы 2м/с-тен 8м/с-ке дейн артады. Мəшиненің жалпы массасы 8т. Мəшиненің кинетикалық энергиясының өзгерісін, тарту күшінің жұмысын жəне оның орын ауыстыру аралығын табыңдар

Ответы

Ответ дал: ayazhan070606
0

Ответ:Ары-қарай өзің толықтырып есепте

Объяснение:

Приложения:
Вас заинтересует