Ответы
Ответ дал:
0
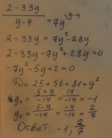
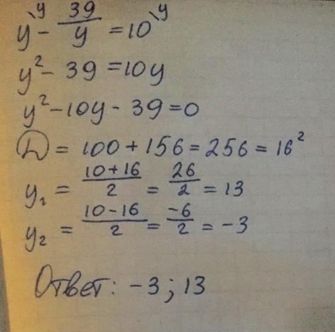
Ответ:
Пошаговое объяснение:
Приложения:



Ответ дал:
0
Огромное спасибо!
Вас заинтересует
2 года назад
2 года назад
3 года назад
3 года назад
8 лет назад
8 лет назад
9 лет назад