Помогите с алгеброй пожалуйста(:`( (5 до 8) пожалуйста (задание сократите алгебраическую дробь
дам 8 баллов(заранее спасибо:) )
Приложения:

Ответы
Ответ дал:
0
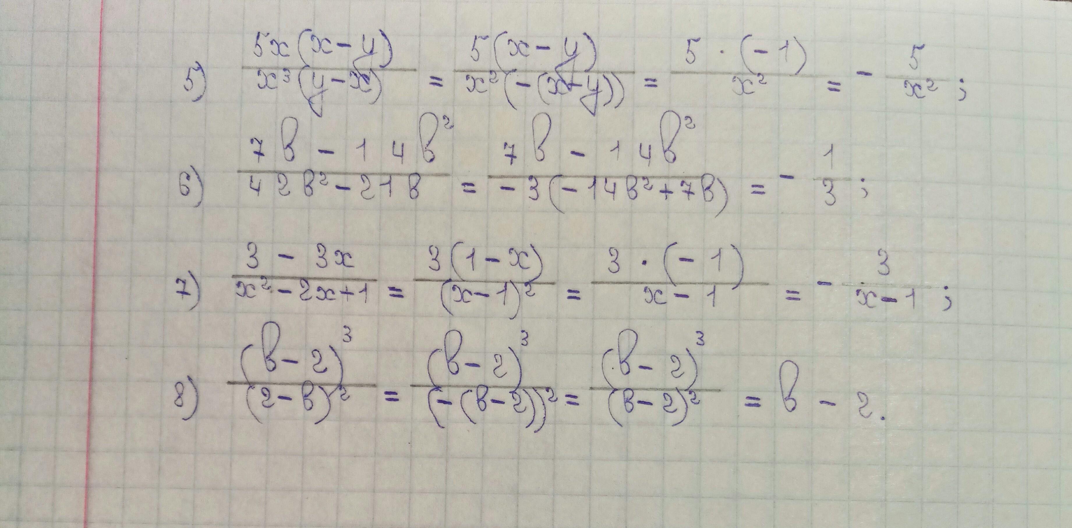
Решение на фотографии
Приложения:

Вас заинтересует
2 года назад
2 года назад
3 года назад
8 лет назад
8 лет назад
9 лет назад
9 лет назад