Ответы
Ответ дал:
0
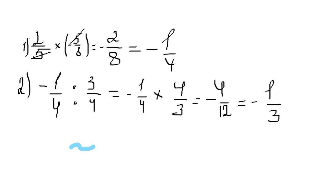
2/5*(-5/8)= -1/4
-1/4:3/4= -1/4*4/3= -1/3
Ответ дал:
0
-4/12 разве -3??
Ответ дал:
0
Спасибо! ошиблась
Ответ дал:
0
Пожалуйста)
Ответ дал:
0
Все ошибаются0
Ответ дал:
0
вот_____________________)
Приложения:

Вас заинтересует
2 года назад
3 года назад
3 года назад
8 лет назад
8 лет назад