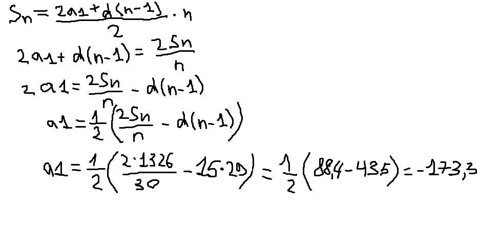
Знайдіть перший член арифметичної прогресії різниця якої дорівнює 15 а сума її перших тридцяти членів дорівнює 1326
Ответы
Ответ дал:
0
Решение в приложении
Приложения:

Вас заинтересует
2 года назад
2 года назад
3 года назад
3 года назад
8 лет назад
8 лет назад