• Предмет: Алгебра
  • Автор: Olya34345
  • Вопрос задан 8 лет назад

Решите это, пожалуйста.

Приложения:

Ответы

Ответ дал: solving05
0

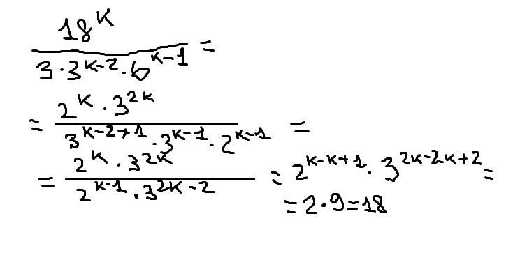
Решение приводится в приложении

Приложения:
Вас заинтересует