Ответы
Ответ дал:
0
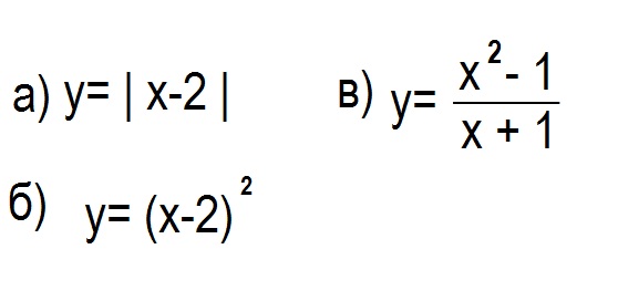
1) ОДЗ: х Є (-беск, +беск)
2)ОДЗ: х Є (-беск, +беск)
3) х не=-1 , то есть х Є (-беск,-1)U(-1, +беск)
2)ОДЗ: х Є (-беск, +беск)
3) х не=-1 , то есть х Є (-беск,-1)U(-1, +беск)
Вас заинтересует
3 года назад
3 года назад
11 лет назад
11 лет назад
11 лет назад