• Предмет: Алгебра
  • Автор: Benderjkeeeee
  • Вопрос задан 8 лет назад

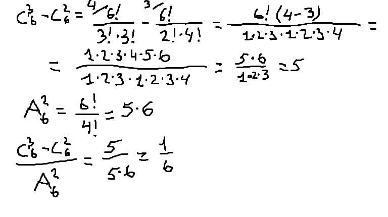
C³₆-C₆²/A²₆ найдите значение выражения

Приложения:

Ответы

Ответ дал: solving05
0

Решение приводится в приложении

Приложения:
Ответ дал: Benderjkeeeee
0
можешь еще второе решить?
Ответ дал: solving05
0
второй во втором примере?
Ответ дал: Benderjkeeeee
0
да
Ответ дал: solving05
0
дайте его отдельным заданием, через комментарии нельзя ставить задачу
Вас заинтересует