• Предмет: Алгебра
  • Автор: zetozyk
  • Вопрос задан 8 лет назад

Помогите сделать!!! ЕТО АД

Приложения:

Ответы

Ответ дал: solving05
0

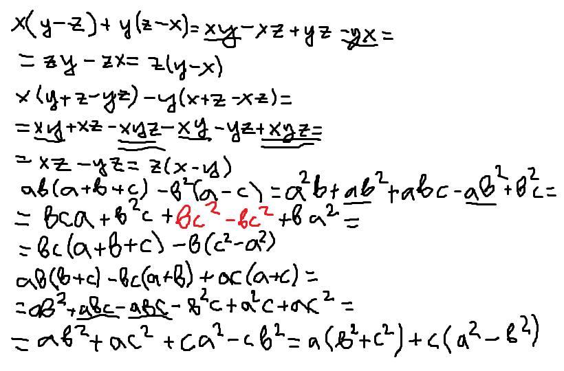
Решение представлено в приложении

Приложения:
Ответ дал: zetozyk
0
Что
Ответ дал: zetozyk
0
!!!!!
Ответ дал: zetozyk
0
КАК ТЫ ЕТО РЕШИЛ!!!!!!!!!!
Ответ дал: zetozyk
0
а можно написать где первое второе и т.д пж
Ответ дал: zetozyk
0
прошууу
Вас заинтересует