• Предмет: Математика
  • Автор: 06puk0sina
  • Вопрос задан 8 лет назад

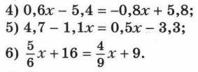
решите пожалуйста задание

Приложения:

Ответы

Ответ дал: lolo4884
0

Ответ:

Пошаговое объяснение:  4)0,6х+0,8х=5,8+5,4   1,4х=11,2     х=11,2:1,4   х=8

5)-1,1х-0,5х=-3,3-4,7    -1,6х=-8   х=-8 :(-1,6)    х=5     6)5/6х-4/9х=9-16  7/18х=-7  х=-7 :7/18   х=7/1*18/7     х=-18

Вас заинтересует