• Предмет: Математика
  • Автор: lolike
  • Вопрос задан 8 лет назад

Вычислить площадь, ограниченную линиями: y=x^2+4x, y=x+4
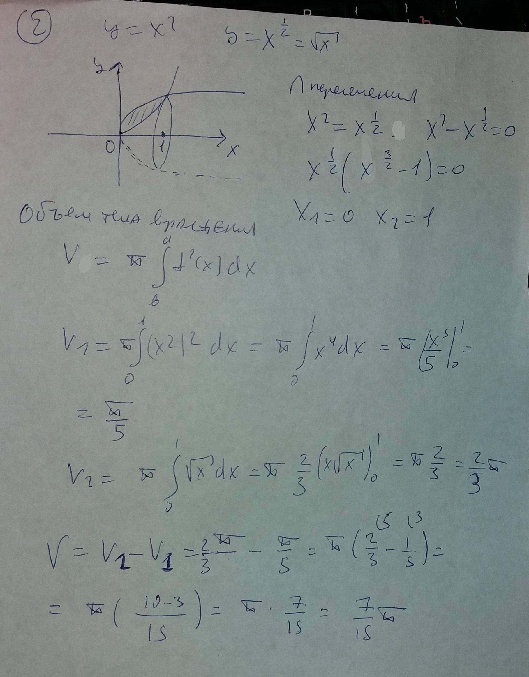
Вычислить объем тела, образованного вращением вокруг оси Ox фигуры,
ограниченной параболами y=x^2, y=x^1/2

Ответы

Ответ дал: bena20192
0

Ответ:

Пошаговое объяснение:

Приложения:
Вас заинтересует