• Предмет: Алгебра
  • Автор: User2281137
  • Вопрос задан 8 лет назад

Помогите!!прошу решите хоть одно

Приложения:

Ответы

Ответ дал: Universalka
0

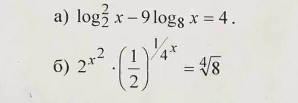
a) ОДЗ : x > 0

log_{2}^{2}x-9log_{8}x=4\\log_{2}^{2}x-9*frac{1}{3}log_{2}x-4=0\\log_{2}^{2}x-3log_{2}x-4=0\\log_{2}x=m\\m^{2}-3m-4=0\\m_{1}=4\\m_{2}=-1\\log_{2}x=4\\x_{1}=16\\log_{2}x=-1\\x_{2}=0,5

Ответ : 0,5 ; 4

б)

2^{x^{2} }*(frac{1}{2})^{frac{1}{4}x }=sqrt[4]{8}\\2^{x^{2} }*2^{-frac{1}{4}x }=2^{frac{3}{4} }\\2^{x^{2} -frac{1}{4}x }=2^{frac{3}{4} }\\x^{2}-frac{1}{4}x=frac{3}{4}\\4x^{2}-x-3=0\\D=(-1)^{2}-4*4*(-3)=1+48=49=7^{2}\\x_{1}=frac{1+7}{8}=1\\x_{2}=frac{1-7}{8}=-0,75

Ответ : - 0,75 ; 1

Вас заинтересует