Ответы
Ответ дал:
0
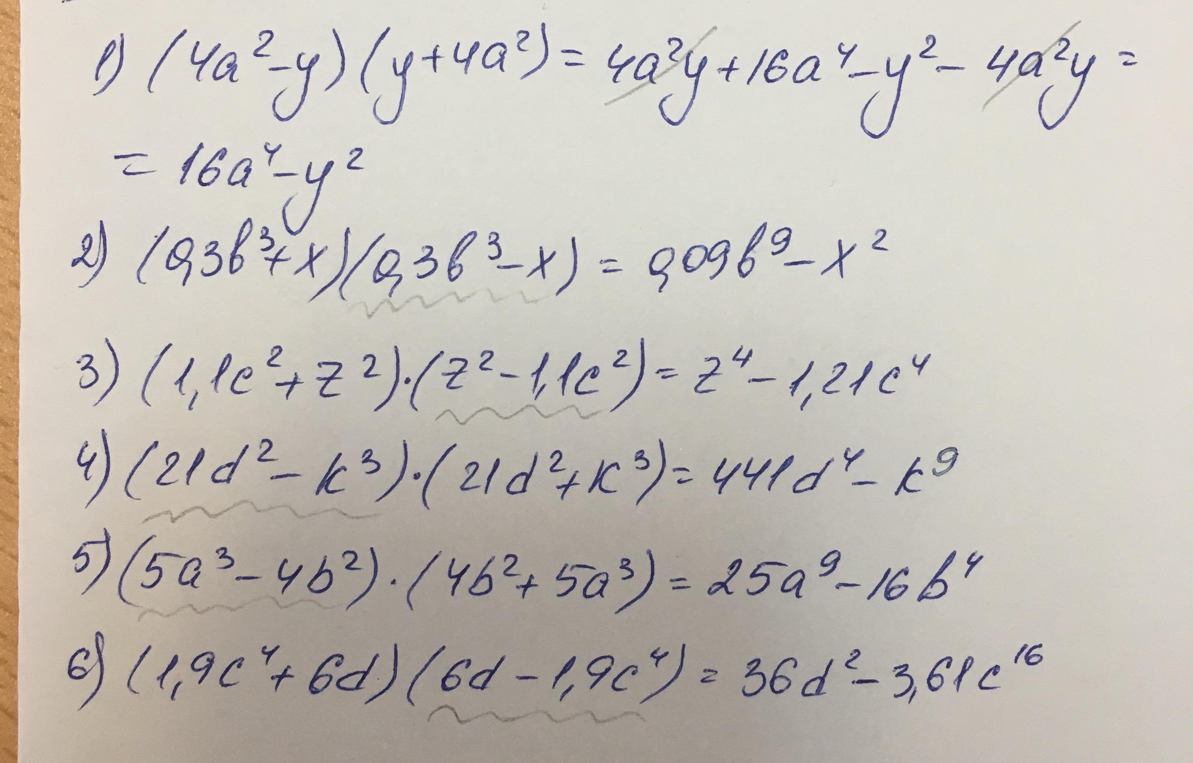
Можно 2-мя способами решать.
Либо раскрывать скобки, так сказать, «фонтанчиком» (как первый пример)
Либо по формуле: a^2-b^2=(a-b)*(a+b)
Решение во вложение.
Приложения:

Вас заинтересует
2 года назад
2 года назад
3 года назад
8 лет назад
8 лет назад
9 лет назад