• Предмет: Геометрия
  • Автор: Almazmr
  • Вопрос задан 8 лет назад

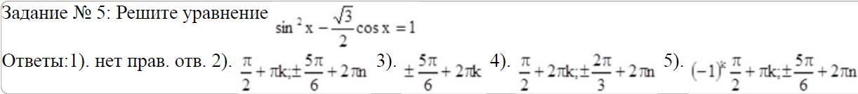
Помогите решить уравнение

Приложения:

Ответы

Ответ дал: tanyamozg
0

Sin(x)^2-√32cos(x) = 1

-√3/2cos(x) = 1 - sin(x)^2

-√3/2cos(x) - cos(x)^2 = 0

cos(x) * (cos(x)  + √3/2) = 0

cos(x) = 0 или cos(x) = -√3/2

x= π/2 + πn или x= ±5π/6 +2πK Ответ:2

Вас заинтересует