• Предмет: Алгебра
  • Автор: gihfhs
  • Вопрос задан 8 лет назад

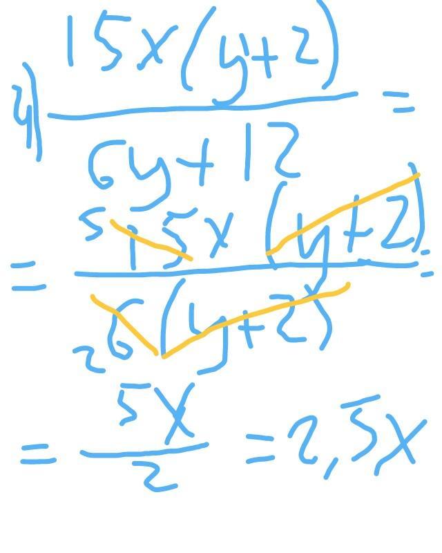
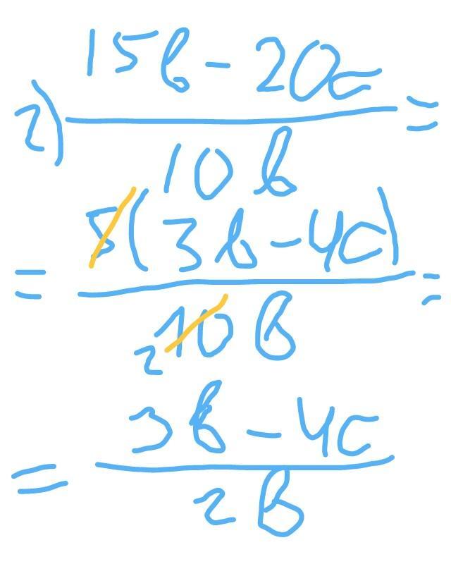
номер 6.7 сократите дробь 1) 3а+12b/6ab, 2) 15b-20c/10b, 3) 2a-4/3(a-2), 4) 15x(y+2)/6y+12.

Ответы

Ответ дал: asialoban
0

....................

Приложения:
Вас заинтересует