• Предмет: Алгебра
  • Автор: KollBol
  • Вопрос задан 8 лет назад

Решите пожалуйста .Желательно с пояснением
Очень нужно
скоро сдавать
пожалуйста ​

Приложения:

Ответы

Ответ дал: lbvf23
0

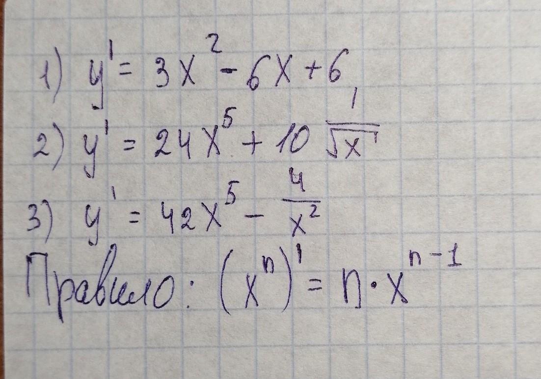
Находил производную, по правилу, которое написано на фото, вместе с решением

Приложения:
Ответ дал: KollBol
0
Большое спасибо
Ответ дал: KollBol
0
Помоги решить 2 и 3 . очень нужно
Ответ дал: lbvf23
0
на фото есть решение 2 и 3 примера
Ответ дал: KollBol
0
ой не увидел сразу . спасибо
Вас заинтересует