• Предмет: Алгебра
  • Автор: elena6017
  • Вопрос задан 8 лет назад

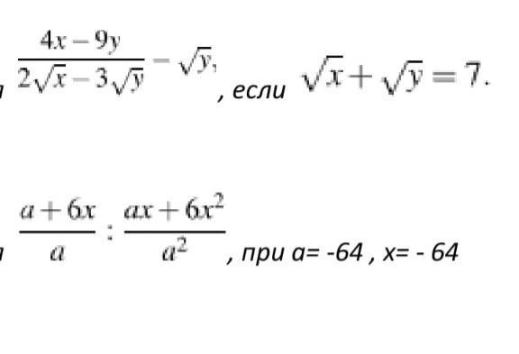
Ребятки помогите пожалуйста)❤. Найти значение выражения​

Приложения:

Ответы

Ответ дал: nastyasmir52
0

1. 4х-9у / 2√х-3√у   -  √у = (2√х-3√у)(2√х+3√у) / 2√х-3√у  -  √у = 2√х+3√у-√у =  

= 2√х+2√у = 2(√х+√у)

2(√х+√у) = 2*7 = 14

2. а+6х / а   :   ах+6х² / а² = а+6х / а   *   а² / х(а+6х) = а/х = -64/ -64 = 1

Вас заинтересует