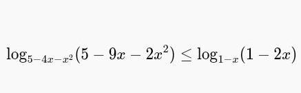
Свести неравенство

к неравенству без использования логарифмических и им подобных функций.
P. S. Если что, исходное неравенство есть на фотке, но оно сводится к данному выше при определенных заменах. Если знаете другие способы - можете написать
Приложения:

Ответы
Ответ дал:
0
▪решение приложено ▪
Приложения:


Вас заинтересует
2 года назад
2 года назад
3 года назад
3 года назад
8 лет назад
8 лет назад