• Предмет: Химия
  • Автор: cometowood
  • Вопрос задан 11 лет назад

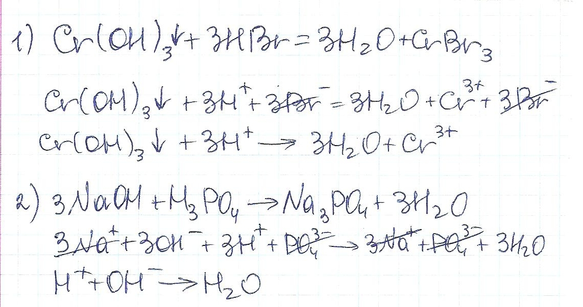
Составить ионные уравнения(полное/короткое) 
Cr(OH)3+3HBr=3H2O+CrBr3.
3NaOH+H3PO4=Na3PO4+3H2O.

Ответы

Ответ дал: DariyaKozlova
0
как-то так))))))))))))))))
Приложения:
Вас заинтересует