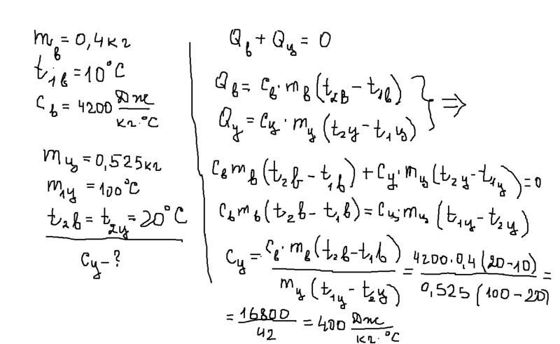
воду массой 400 г взятую при температуре 10 градусов опустили цилиндр массой 525 г нагрели до температуры 100 градусов в результате теплообмена между телами установилась температура 20 градусов Какова удельная теплоемкость цилиндра
Ответы
Ответ дал:
0
вот это надеюсь правильно)
Приложения:
Вас заинтересует
2 года назад
2 года назад
3 года назад
3 года назад
9 лет назад
9 лет назад
10 лет назад