• Предмет: Математика
  • Автор: mariaatwogaman
  • Вопрос задан 8 лет назад

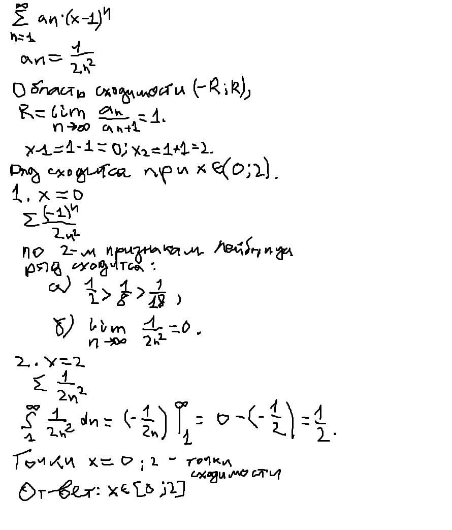
Ребят , кто может, прошу помогите с высшей матем-кой.. очень нужно , 100 баллов

Приложения:

Ответы

Ответ дал: solving05
0

Ответ:

Пошаговое объяснение:

решение приводится в приложении

Приложения:
Вас заинтересует