помогите пожалуйста срочно надо буду очень сильно благодарен ,заранее спасибо!!!а то 2 за четверть
Приложения:
Ответы
Ответ дал:
0
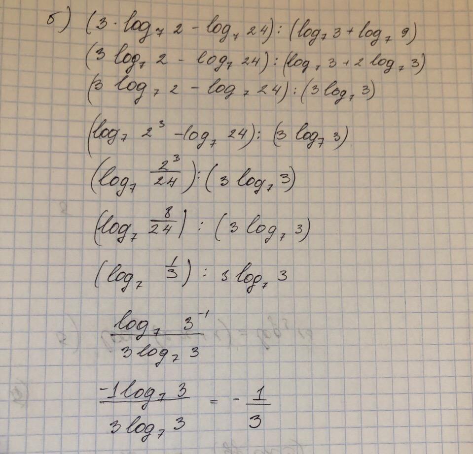
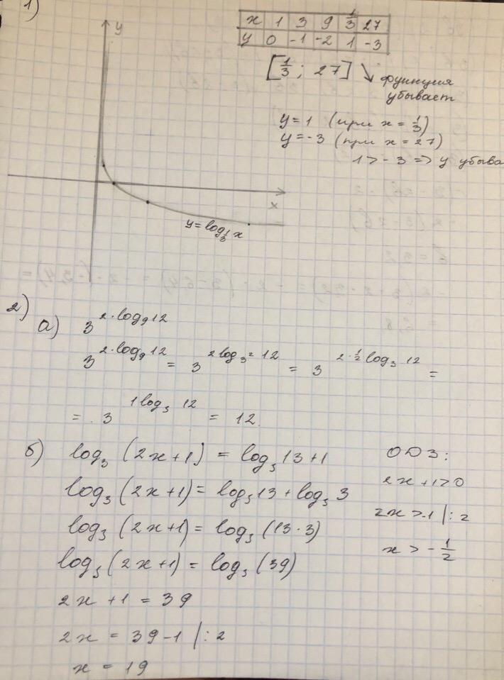
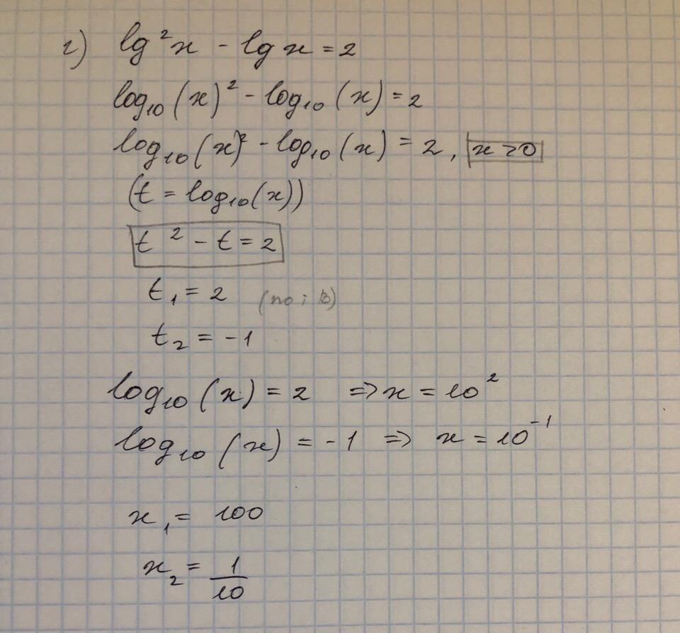
вообщем, это то что у меня получилось, только на первой картинке произошла путаница в 2-м в б) это пример из 3-го, переписывая не ошибитесь. а так же не знаю, в каком виде вы записываете 4 номер, решила как смогла
Приложения:
Вас заинтересует
2 года назад
2 года назад
3 года назад
3 года назад
9 лет назад
9 лет назад
10 лет назад