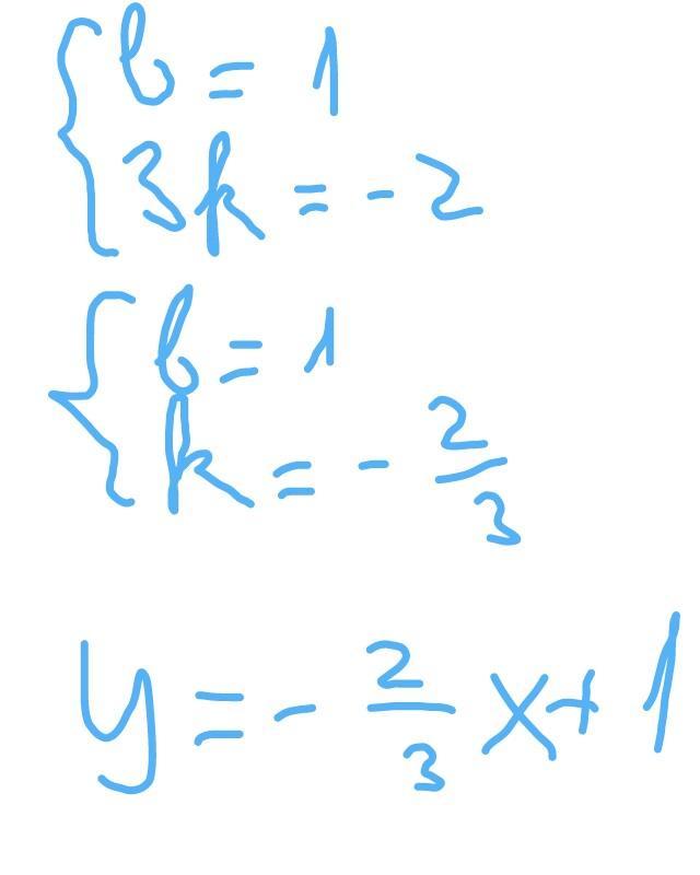
на рисунке изображён график линейной функции.Напишите формулу, которая задаёт эту линейную функцию.
Приложения:

Ответы
Ответ дал:
0
.........................
Приложения:


Вас заинтересует
2 года назад
3 года назад
8 лет назад
8 лет назад
9 лет назад
9 лет назад