Дам 10 баллов срочн приведите алгебраическую дробь только 5 7 9 нужен мне на скринах примеры
Приложения:


Ответы
Ответ дал:
0
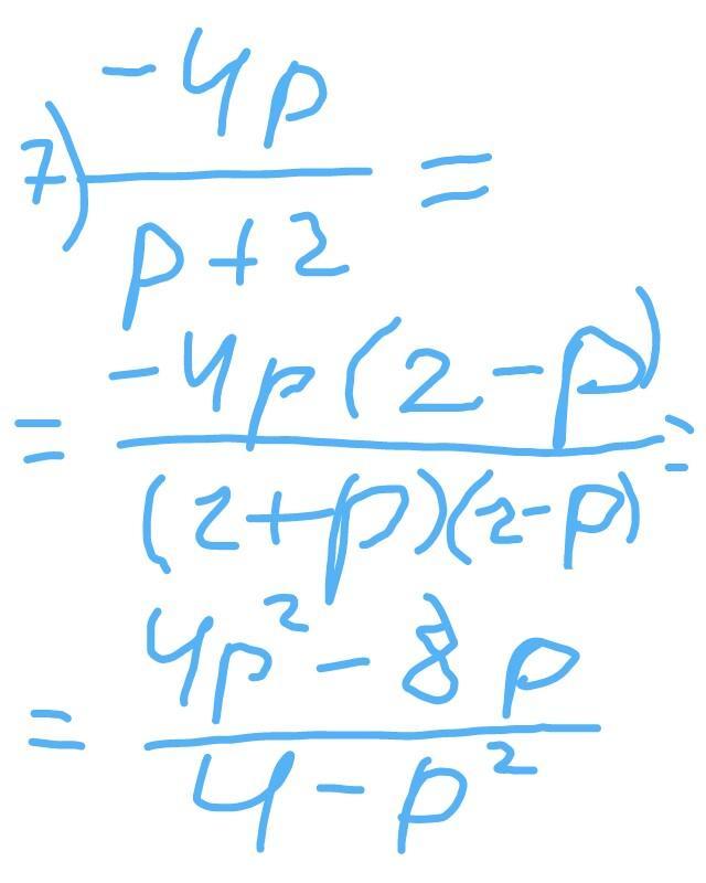
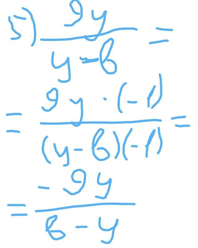
....................
Приложения:



Ответ дал:
0
пж поменяй сделай 5
Ответ дал:
0
уже сделала
Ответ дал:
0
спс
Ответ дал:
0
лучшая
Ответ дал:
0
приятно
Вас заинтересует
2 года назад
2 года назад
3 года назад
3 года назад
8 лет назад
9 лет назад
9 лет назад